1. 행렬의 정의
벡터를 원소로 가지는 2차원 배열이다.
$n \times m$행렬 $X$는 다음과 같이 간단하게 나타낼 수 있다.
$$X= \left ( x_{ij} \right )$$
여기서 $i$는 행 인덱스, $j$는 열 인덱스
$x_{ij}$는 행렬 $X$의 $i$번째 행의 $j$번째 열에 있는 원소
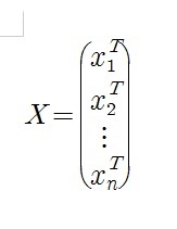
2. 행렬의 분할


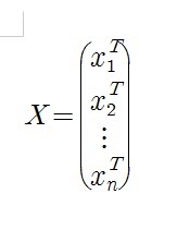
$i$번째 행을 기준으로 (빨간색 부분)

행벡터 분할하여 $n \times 1$행렬처럼 다룰 수도 있게 된다

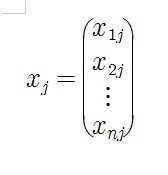
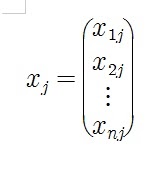
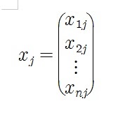
행렬의 $j$열을 기준으로

열벡터 분할하여 $1 \times m$ 행렬처럼 다룰 수 있게 된다

3. 행렬의 기하학적 의미
벡터가 공간 상 하나의 데이터를 나타낸다면, 행렬은 공간 상 여러개의 데이터를 하나로 묶어서 표현한 것이다

728x90
'선형대수학' 카테고리의 다른 글
| 선형변환으로서의 행렬이 가지는 의미 (0) | 2022.01.12 |
|---|---|
| 행렬의 기본 연산들 (0) | 2022.01.11 |
| 벡터의 내적의 기하학적 의미 (0) | 2022.01.07 |
| 두 벡터 사이의 거리와 각도 (0) | 2022.01.06 |
| 벡터 사이의 거리 norm (0) | 2022.01.03 |