1. 개요
다익스트라 알고리즘을 간단히 구현하면 시간 복잡도가 $O(V^{2})$이지만
이제부터 배울 구현 방법을 이용하면 최악의 경우에도 $O(ElogV)$를 보장하여 해결할 수 있다.
여기서 V는 노드의 개수이고 E는 간선의 개수이다.
간단한 다익스트라 알고리즘은 "최단 거리가 가장 짧은 노드"를 찾기 위해 매번 최단 거리 테이블을 선형적으로 (모든 원소를 앞에서부터 하나씩) 탐색해야 했다.
이 과정에서만 O(V)의 시간이 걸린다.
하지만 최단 거리가 가장 짧은 노드를 단순히 선형적으로 찾는 것이 아니라 더욱 더 빠르게 찾을 수 있다면 어떨까?
개선된 다익스트라 알고리즘에서는 힙 자료구조를 사용한다.
힙 자료구조를 이용하면 특정 노드까지의 최단 거리에 대한 정보를 힙에 담아 처리하므로, 출발 노드부터 가장 거리가 짧은 노드를 더욱 빠르게 찾을 수 있다.
이러면 선형 시간이 아니라 로그 시간이 걸린다.
n = 1000000일때, logN이 약 20으로 획기적으로 속도가 빨라진다는 것을 알 수 있다
2. 힙에 대한 간단 설명
힙 자료구조는 우선순위 큐를 구현하기 위해 사용하는 자료구조 중 하나이다.
스택은 가장 나중에 삽입된 데이터를 가장 먼저 삭제하고 큐는 가장 먼저 삽입된 데이터를 가장 먼저 삭제한다.
우선순위 큐는 우선순위가 가장 높은 데이터를 가장 먼저 삭제한다.
이러한 우선순위 큐는 따라서 데이터를 우선순위에 따라 처리하고 싶을 때 사용한다.
예를 들어 여러 개의 물건 데이터를 자료구조에 넣었다가 가치가 높은 물건 데이터부터 꺼내서 확인해야하는 경우, 우선순위 큐 자료구조를 이용하면 효과적이다.
대부분의 프로그래밍 언어에서 우선순위 큐 라이브러리를 지원하므로 일반적인 코딩테스트 환경에서 힙 자료구조를 작성해서 우선순위 큐를 구현할 일은 없다.
파이썬에서는 PriorityQueue 혹은 heapq를 이용할 수 있는데, heapq가 일반적으로 빠르게 동작하므로 heapq를 사용하는 것이 기본이다.
우선순위 값을 표현할 때는 일반적으로 정수형 자료형의 변수가 사용
예를 들어 물건 정보가 있고, 이 물건 정보는 물건의 가치와 물건의 무게로만 구성된다면...
모든 물건 데이터는 (물건의 가치, 물건의 무게)로 묶어서 우선순위 큐에 넣을 수 있고 이후 우선순위 큐에서 물건을 꺼내게 되면
항상 가치가 높은 물건이 먼저 나오게 된다(최대 힙으로 구현되어 있을때)
일반적으로 우선순위 큐 라이브러리에서 첫번째 원소를 기준으로 우선순위를 설정한다.
그래서 (가치, 무게)이면. 가치가 우선순위가 된다. 이는 파이썬에서도 마찬가지다.
또한 우선순위 큐를 구현할 때는 내부적으로 최소힙 혹은 최대힙을 사용한다.
최소 힙을 이용하는 경우에는 "값이 낮은 데이터가 먼저 삭제"되며 최대 힙을 이용하는 경우에는 "값이 큰 데이터가 먼저 삭제"된다.
파이썬 라이브러리에서는 기본적으로 최소 힙 구조를 이용하는데, 다익스트라 알고리즘에서는 비용이 적은 노드를 우선하여 방문하므로 최소 힙 구조를 기반으로 하는 파이썬의 우선순위 큐 라이브러리를 그대로 사용하면 적합하다.
-------------------------------------------------------------------
최소 힙을 최대 힙처럼 사용하기 위해 일부러 우선순위에 해당하는 값에 음수 부호를 붙여서 넣었다가,
나중에 우선순위 큐에서 꺼낸 다음에 다시 음수 부호를 붙여서 원래의 값으로 되돌리는 방식을 사용할 수 있다.
이러한 테크닉도 실제 코딩테스트에서 자주 쓰이므로 기억해두는 것이 좋다
-----------------------------------------------------------------
우선순위 큐를 구현할때, 힙을 이용해 구현한다고 했지만 사실 구현 방법은 다양하다.
단순히 리스트를 이용해 구현할 수도 있는데 삭제할때마다 모든 원소를 확인해서 우선순위가 가장 높은 것을 찾아야 하므로 최악의 경우 O(N)이 걸린다.
힙 자료구조는 어떨까? N개의 데이터를 모두 넣은 뒤에 다시 삭제한다고 생각해보자.
삽입할때 O(logN) 연산을 N번 반복하여 O(NlogN)이고 삭제할 때도 O(logN)을 N번 반복하여 O(NlogN)이 된다.
그래서 삽입, 삭제시 전체 연산 횟수가 대략 2NlogN으로, O(NlogN)정도 된다.
이것이 힙정렬(heap sort)의 원리이다.
만약 동일한 작업을 리스트로 수행하면 시간 복잡도는 $O(N^{2})$이다. N이 커질수록 시간 차이는 극명하며, 대부분 힙을 이용할때 훨씬 빠르게 동작한다.
이처럼 힙을 이용하는 경우 모든 원소를 저장한 뒤에 우선순위에 맞게 뽑아낼 수 있으므로 힙은 "우선순위 큐"를 구현하는 데 가장 많이 사용된다.
-------------------------------------------------------------------------------------
최소 힙을 이용하는 경우 힙에서 원소를 꺼내면 "가장 값이 작은 원소"가 추출되는 특징이 있다
파이썬의 heapq 라이브러리는 최소 힙에 기반한다. 이러한 최소 힙을 다익스트라 최단 경로 알고리즘에 적용할 것이다.
단순히 우선순위 큐를 이용해서 시작 노드로부터 거리가 짧은 노드 순서대로 큐에서 나올 수 있도록 다익스트라 알고리즘을 작성하면 된다.
3. 예시를 통해 이해하는 개선된 다익스트라 알고리즘
우선순위 큐를 적용하더라도 다익스트라 알고리즘이 동작하는 기본 원리는 동일하다.
최단 거리를 저장하기 위한 1차원 리스트(최단 거리 테이블)는 아까와 같이 그대로 이용하고,
"현재 가장 가까운 노드를 저장하기 위한 목적으로만 우선순위 큐를 추가로 이용"한다고 생각하자.

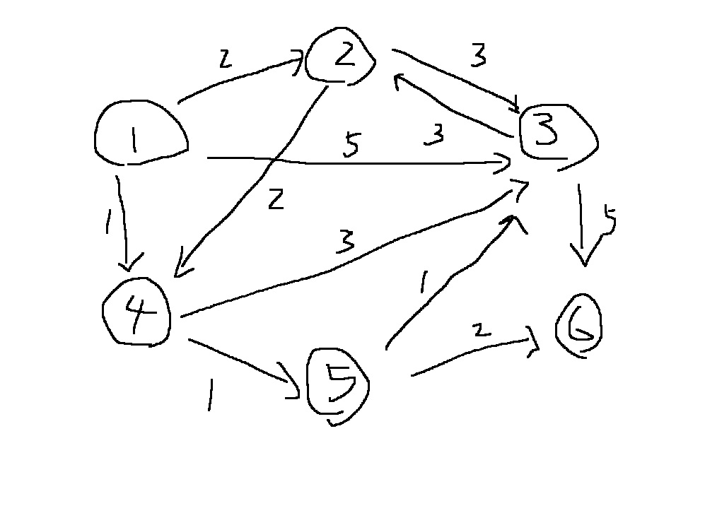
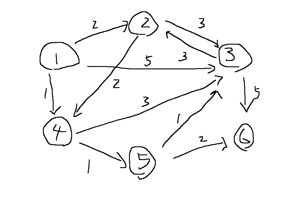
위와 같은 그래프에서 1번 노드를 출발 노드라 하고 최단 경로를 찾아보자.
초기에 출발 노드를 제외한 모든 노드의 최단 거리를 무한으로 설정한다.
이후에 우선순위 큐에 1번 노드를 넣는다. 이때 1번 노드로 가는 거리는 자기 자신까지 도달하는 거리이므로 0이다.
그러므로 우선순위 큐에 (거리:0, 노드:1)의 정보를 넣는다
파이썬에서는 간단히 튜플인 (0,1)로 넣으면 된다.
heapq 라이브러리에서는 원소로 튜플을 입력받으면 튜플의 첫번째 원소를 기준으로 우선순위 큐를 구성한다
따라서 (거리, 노드) 순서대로 튜플 데이터를 구성해 우선순위 큐에 넣으면 거리 순으로 정렬된다.

이제 최단거리 테이블에서 거리가 가장 짧은 노드를 선택해야한다.
하지만 우선순위 큐를 이용하고 있으므로 거리가 가장 짧은 노드를 선택하기 위해서는 우선순위 큐에서 그냥 노드를 꺼내면 된다.
기본적으로 거리가 짧은 원소가 우선순위 큐의 최상위 원소로 위치하고 있다.
우선순위 큐에서 노드를 꺼낸 뒤에 해당 노드를 이미 처리한 적이 있다면, 그냥 무시하면 되고 아직 처리하지 않은 노드라면 처리하면 된다.
그러므로 이제 우선순위 큐에서 노드를 꺼내면 (0,1)이 나온다.
1번 노드까지 가는 최단 거리가 0이고, 이러한 노드를 선택하면 된다.
이제 선택된 노드에서 이동할 수 있는 2,3,4번 노드까지 가는 최단 비용을 계산한다.
각각 0+2=2, 0+5=5, 0+1=1이다. 현재 2,3,4번 노드로 가는 비용이 무한이므로 더 짧은 경로를 찾았으니 각각 갱신하면 된다.
이렇게 더 짧은 경로를 찾은 노드들은 다시 우선순위 큐에 넣는다.

이어서 다시 우선순위 큐에서 원소를 꺼내서 동일한 과정을 반복한다.
이번에는 (1,4)가 추출된다. 아직 노드 4를 방문하지 않았고, 최단거리가 가장 짧은 노드는 4이다.
노드 4를 기준으로 노드 4와 연결된 간선들을 확인하자.
4번 노드까지의 최단거리는 1이고 연결된 3,5번까지의 최단거리는 1+3=4, 1+1=2이다.
기존의 최단거리 테이블에 담겨있는 값들보다 작으므로, 더 짧은 경로를 찾았으니 새로 테이블을 갱신한다.
그리고 (4,3)과 (2,5)가 추가로 우선순위 큐에 들어가게 된다.

마찬가지로 다음에 우선순위 큐에서 노드를 꺼내면 (2,2)가 나온다.
이번엔 노드 2를 선택한다. 마찬가지로 2번 노드를 거쳐서 도달할 수 있는 노드 중에서 더 거리가 짧은 경우가 있는지를 검사한다.
2번에서 갈 수 있는 노드는 3,4이고 각각 2+3=5, 2+2=4인데, 현재 최단거리 테이블에 3,4로 가는 최단 경로는 4,1이다.
더 짧은 경로를 찾지 못했으므로 최단 거리 테이블을 갱신하지 않는다.
그리고 우선순위 큐에 아무런 정보도 넣지 않는다.

다음에 우선순위 큐에서 노드를 꺼내면 (2,5)를 꺼낸다. 5번 노드는 방문하지 않았으므로 5번 노드를 선택하고, 갈 수 있는 노드를 검사한다.
3번,6번 노드에 대해 현재 5번까지의 최단 비용은 2이므로, 각각 3번,6번 노드까지의 최단비용은 2+1=3, 2+2=4이다.
최단거리 테이블에 3번까지 최단거리는 4이고, 6번까지 거리는 무한이므로 더 짧은 경로를 찾았다.
최단거리 테이블을 갱신하고, 더 짧은 경로 (3,3)과 (4,6)을 우선순위 큐에 넣는다

마찬가지로 다음에는 우선순위 큐에 노드를 꺼내면 (3,3)이다. 3번 노드는 아직 방문하지 않았고, 3번까지 최단거리는 3이다.
3번에서 갈 수 있는 곳은 2번과 6번이다. 각각 최단 비용은 3+3=6, 3+5=8이고, 현재 최단거리 테이블에 최소 비용은 각각 3,4이다.
그러므로 더 짧은 경로를 찾지 못했고, 최단 거리 테이블을 갱신하지 않는다.
그리고 우선순위 큐에 아무런 정보를 넣지 않는다.

다음에 우선순위 큐에서 원소를 꺼내면 (4,3)인데, 3번 노드를 기준으로 알고리즘을 반복한다.
하지만 3번 노드는 이미 방문처리 되었다.
현재 우선순위 큐에서 3번 노드까지 가는 최단 거리가 4라고 되어있지만, 최단 거리 테이블에서 3번 노드까지 최단 거리는 3이다.
따라서 현재 노드인 3번에 대해서는 이미 처리된 것이고, 우선순위 큐에서 꺼낸 (4,3)은 무시하면 된다.

이어서 우선순위 큐에 (4,6)을 꺼내면 6번 노드는 아직 방문하지 않았으므로, 6번 노드에 대해 처리를 수행한다.
하지만 6번 노드에서 갈 수 있는 노드는 존재하지 않으므로 갱신할 필요가 없다.
마지막으로 우선순위 큐에서 (5,3)을 꺼내면, 3번 노드는 이미 방문 처리했으므로 무시하면 된다. 우선순위 큐가 비었으므로 알고리즘을 종료한다.

이와 같이 모든 단계를 거친 후에 나온 최단 거리 테이블의 의미는 무엇일까?
위 과정을 잘 따라왔다면, 기본적인 다익스트라 알고리즘을 이해했다면... 출발 노드로부터 각 노드 1,2,3,4,5,6까지의 최단 거리가 0,2,3,1,2,4라는 것을 이해할 수 있을 것이다.
하지만 위 방법은 최단 거리가 가장 짧은 노드를 찾기 위해 최단 거리 테이블을 순회하지 않고 우선순위 큐를 이용하고 있으며 기본형 알고리즘보다 훨씬 빠르게 동작한다.
파이썬 표준 라이브러리 heapq에서 하나의 데이터를 삽입하거나 삭제할때 O(logN)이다.
4. 개선된 다익스트라 알고리즘 구현 예시
최단 거리가 가장 짧은 노드를 선택하는 과정을 다익스트라 최단 경로 함수 안에서 우선순위 큐를 이용하는 방식으로 대체할 수 있다.
특히 최단거리를 갱신하면, 우선순위 큐에 넣어야하므로.. distance[b] = min(distance[b],dist+w)가 아니라,
dist+w랑 distance[b]를 직접 비교하고, dist+w가 작으면, 그렇게 갱신하고 우선순위 큐에 넣는다는 로직을 추가해야함
#우선순위 큐를 이용한 다익스트라 알고리즘
import heapq
def dijkstra(start):
##우선순위 큐
q = []
##시작 노드로 가기 위한 최단 거리는 0이며 우선순위 큐에 삽입
heapq.heappush(q,(0,start))
distance[start] = 0 ##출발 노드 거리는 0으로 초기화
##우선순위 큐가 빌때까지 반복을 수행함
while q:##큐가 비어있지 않다면..
##가장 최단 거리가 짧은 노드에 대한 정보를 꺼낸다.
dist,u = heapq.heappop(q)
##현재 노드가 이미 처리된 적이 있다면 무시함
##최단거리 테이블의 최단거리가 우선순위 큐의 거리보다 작다면..
##이미 처리된 노드이다.
if distance[u] < dist:
continue
##선택된 노드와 연결된 인접 노드들을 확인함
for b,w in graph[u]:
##연결된 노드들의 최단 비용은...
##원래 최단비용 vs. (선택된 노드 u까지 최단비용 dist + u에서 인접한 b까지 가는 최단거리 w) 중 최솟값
##distance[b] = min(distance[b],dist+w)
##최단 거리가 갱신이 되면 우선순위 큐에 넣어야하므로, 다음과 같이 구현함
cost = dist + w
if cost < distance[b]: ##원래 최단비용 distance[b]보다 새로 구한 최단비용 cost가 더 작다면..
distance[b] = cost ##최단거리 테이블을 갱신하고
heapq.heappush(q,(cost,b)) ##새로 구한 정보를 우선순위 큐에 넣는다
##노드의 개수, 간선의 개수를 입력받는다
v,e = map(int,input().split())
##시작 노드의 번호
start = int(input())
##각 노드에 연결되어 있는 노드에 대한 정보를 담는 인접리스트
graph = [[] for _ in range(v+1)]
##최초 최단 거리 테이블을 무한으로 초기화
INF = int(1e9)
distance = [INF]*(v+1)
##모든 간선의 정보를 입력받는다.
for _ in range(e):
a,b,w = map(int,input().split())
#a에서 b로 가는 가중치가 w
graph[a].append((b,w))
##다익스트라 알고리즘 수행
dijkstra(start)
##출발 노드에서 1번부터 v까지 가는 최단경로 출력
for i in range(1,v+1):
##최단거리 테이블 값이 무한이라면, 도달할 수 없어서 갱신되지 않은 것이다.
if distance[i] == INF:
print('infinity')
else: ##도달 가능한 경우
print(distance[i])
"""
6 11
1
1 2 2
1 3 5
1 4 1
2 3 3
2 4 2
3 2 3
3 6 5
4 3 3
4 5 1
5 3 1
5 6 2
0
2
3
1
2
4
"""
5. 시간복잡도
개선된 다익스트라 알고리즘의 시간복잡도는 O(ElogV)로 기본형보다 훨씬 빠르다.
직관적으로 우선순위 큐를 이용하는 방식이 훨씬 빠른 이유가 납득이 가지 않는다면..
한번 처리된 노드는 더 이상 처리되지 않는다. 큐에서 노드를 하나씩 꺼내 검사하는 while문은 노드의 개수 V개 이상으로 반복되지는 않는다.
또한 V번 반복될 때마다 각각 자신과 연결된 간선들을 모두 확인한다.
그러므로 현재 우선순위 큐에서 꺼낸 노드와 연결된 다른 노드들을 확인하는 총 횟수는 최대 간선의 개수 E개만큼 수행될 수 있다.
따라서 전체 다익스트라 알고리즘은 E개의 원소를 우선순위 큐에 넣었다가 모두 빼내는 연산과 매우 유사하다.
힙에 N개의 데이터를 모두 넣고, 이후 모두 빼는 과정은 O(NlogN)이다.
간단하게 생각하면 다익스트라 알고리즘의 시간복잡도는 최대 E개의 간선을 힙에 넣었다가 빼는 O(ElogE)로 볼 수 있다.
중복 간선을 포함하지 않는 경우, E는 항상 $V^{2}$보다는 작다.
왜냐하면, 모든 노드끼리 서로 다 연결되어있다고 했을 때, 간선의 개수는 약 $V^{2}$개로 볼 수 있고, E는 항상 $V^{2}$이하이다.
다시 말해 logE는 $logV^{2}$보다 작다. 이 때, $O(logV^{2})$은 O(2logV)이므로, O(logV)이다.
따라서 다익스트라 알고리즘의 전체 시간복잡도는 간단히 O(ElogV)이다.
6. 연습문제
1753번: 최단경로
첫째 줄에 정점의 개수 V와 간선의 개수 E가 주어진다. (1 ≤ V ≤ 20,000, 1 ≤ E ≤ 300,000) 모든 정점에는 1부터 V까지 번호가 매겨져 있다고 가정한다. 둘째 줄에는 시작 정점의 번호 K(1 ≤ K ≤ V)가
www.acmicpc.net
풀이는 위에 있는 코드랑 완전히 동일해서 굳이 써야할까?
'알고리즘 > 최단거리 알고리즘' 카테고리의 다른 글
| 2차원 배열에도 사용가능한 다익스트라 알고리즘 (0) | 2022.10.07 |
|---|---|
| 특정한 정점을 반드시 거쳐야하는 최단 경로를 구하는 다익스트라 응용 (1) | 2022.10.06 |
| 자다가도 일어나서 바로 구현할 수 있어야하는 최단경로를 찾는 다익스트라 알고리즘 파헤치기 1편 (0) | 2022.10.03 |
| 다익스트라 알고리즘 활용하기 (0) | 2022.01.30 |
| 다익스트라(dijkstra) 알고리즘 (0) | 2022.01.29 |