1. convolution
signal processing에서 먼저 나왔다
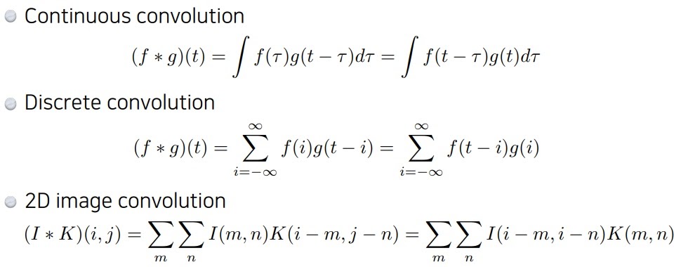
수학적 정의는 다음과 같다.

변수변환을 이용하면 교환법칙이 성립한다
2. convolution의 실제 계산법
커널을 이미지 상에서 stride만큼 움직여간다
찍은 부분에 대해 element wise product를 수행


이미지에 filter를 찍으면 convolution에 의해 filter의 효과에 따라 픽셀의 조정이 이루어지면서
사진이 흐려지거나 밝아지거나 하게 된다
'
3. convolution의 기본적인 특징
커널과 input의 channel은 크기가 같아야한다
보통 커널은 5*5같이 크기만 제시되는데 input의 channel에 맞춰서 생각하면 된다.
input 하나가 kernel 하나에 맞춰 convolution하면 output의 channel은 1임

kernel을 여러개 사용하여 하나의 input에 대해 output의 채널을 늘릴수 있다

당연하지만 convolution은 여러번 가능하다.
무슨 말이냐면 convolution 1번하고 활성화함수를 섞고 나온 결과에 convolution 1번하고 활성화함수를 섞고

728x90
'딥러닝 > 딥러닝 기초' 카테고리의 다른 글
| 시대를 뒤흔든 딥러닝의 아이디어들 (0) | 2022.02.05 |
|---|---|
| convolution 연산의 stride와 padding (0) | 2022.02.04 |
| convolution 연산 이해하기 기본편 (0) | 2022.02.01 |
| backpropagation의 개괄적인 설명 (0) | 2022.01.26 |
| 여러가지 cross validation 방법들 (0) | 2022.01.17 |