1. 동적계획법?
다이나믹 프로그래밍(dynamic programming)
‘하나의 문제는 단 1번만 풀도록 하는 알고리즘’
2개의 가정 하에 사용할 수 있다
1-1) 큰 문제를 작은 문제로 나눌 수 있다.
1-2) 작은 문제에서 구한 정답은 그것을 포함하는 큰 문제에서도 동일하다.
크고 어려운 문제가 있으면 그것을 먼저 잘게 나누어서 해결한 뒤에 각각을 처리한 다음 나중에 전체의 답을 구하는 것
이 과정에서 이미 계산한 결과는 배열에 따로 저장한다음 나중에 동일한 계산을 할때 저장된 값을 단순히 호출하여 반환하기만 하면 된다
2. 피보나치 수열
피보나치 수열의 점화식은 $$a_{n}=a_{n-1}+a_{n-2}$$
특정한 위치의 숫자를 구하기 위해 바로 이전의 숫자와 두번 이전의 숫자의 합을 구함
초기값에 따라 전체 수열이 달라짐
예를 들어 $a_{1}=1, a_{2}=1$라고 한다면 1, 1, 2, 3, 5, 8, 13, 21, 34, 55,... 와 같이 구해짐
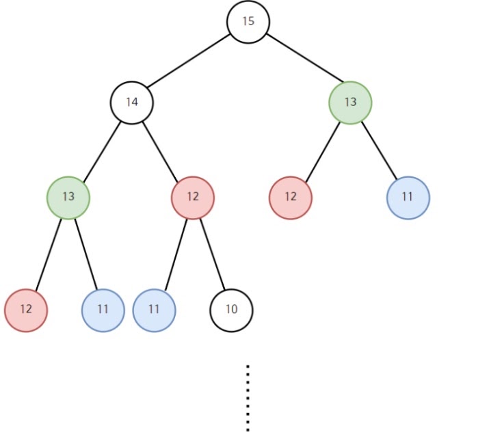
만약 단순하게 피보나치 수열의 일반항을 구하기 위해서 $a_{15}$를 구해본다고 가정해보면
$a_{14}$와 $a_{13}$을 알아야하고 $a_{14}$를 알기 위해 $a_{13}$과 $a_{12}$를 알아야한다

이런 경우 단순히 계산한다면 이미 해결한 문제를 다시 반복적으로 해결하므로 상당히 비효율적
그림만 보더라도 $a_{12}$를 3번이나 반복적으로 다시 계산해야한다는 점이 비효율적이다
$a_{50}$만 하더라도 계산량이 2의 50제곱정도로 계산이 불가능할 정도
3. 참고
https://blog.naver.com/ndb796/221233570962
20. 다이나믹 프로그래밍(Dynamic Programming)
다이나믹 프로그래밍은 프로그래밍 대회를 준비하시는 분에게는 절대 피할 수 없는 숙명입니다. 다이나믹 ...
blog.naver.com
'알고리즘 > 다이나믹 프로그래밍' 카테고리의 다른 글
| 다이나믹 프로그래밍 정복기4 - 규칙을 찾으면 되는 쉬운문제들1- (0) | 2022.09.09 |
|---|---|
| 다이나믹 프로그래밍 - Kadane algorithm (0) | 2022.09.04 |
| 다이나믹 프로그래밍 정복기 2 - 연습문제 1로 만들기 - (0) | 2022.09.03 |
| 다이나믹 프로그래밍 정복기1 - 기본이론 - (0) | 2022.09.01 |
| 다이나믹프로그래밍 - 어떻게하면 완전탐색도 더 효율적으로 할 수 있을까? (0) | 2022.06.23 |
