1. 문제
https://www.acmicpc.net/problem/1904
1904번: 01타일
지원이에게 2진 수열을 가르쳐 주기 위해, 지원이 아버지는 그에게 타일들을 선물해주셨다. 그리고 이 각각의 타일들은 0 또는 1이 쓰여 있는 낱장의 타일들이다. 어느 날 짓궂은 동주가 지원이
www.acmicpc.net
00과 1을 이용해서 만들 수 있는 길이 n의 이진수열의 개수를 15746으로 나눈 나머지를 구하는 문제
2. 풀이
가능한 경우의 수를 나열해서 규칙을 찾으면 간단해진다

1,2,3,5,8,...로 이어져서 피보나치 수열이라는 느낌이 온다
그래서 한번 해보면
from sys import stdin
n = int(stdin.readline())
dp = [0] * 1000001
dp[1] = 1
dp[2] = 2
for i in range(3,n+1):
dp[i] = (dp[i-1]+dp[i-2])
print(dp[n] % 15746)
이렇게 하면 시간초과난다
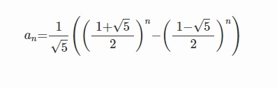
그래서 피보나치 수열의 일반항까지 생각해서

이 문제는 초항이 달라서 위 일반항과 완전히 같은건 아닌데..
아무튼 중요한건 1+sqrt(5)의 n제곱을 구해야하는데 이게 n이 너무 커지면 float error가 난다는게 문제다
3. 정수론 - 왜 n으로 나눈 나머지를 저장해도 문제가 없을까? -
근데 문제에서 15746으로 나눈 나머지를 구하라고 했잖아
이미 페르마의 소정리를 공부하면서 정수론의 놀라운 성질을 배운적이 있다
#############################
" a를 n으로 나눈 나머지와 b를 n으로 나눈 나머지의 합을 n으로 나눈 나머지는 a+b를 n으로 나눈 나머지와 같다 "
$$ ( (a mod n) + (b mod n) ) mod n = (a+b) mod n $$
" a를 n으로 나눈 나머지와 b를 n으로 나눈 나머지의 곱을 n으로 나눈 나머지는 a*b를 n으로 나눈 나머지와 같다 "
$$ ( (a mod n) * (b mod n) ) mod n = (a*b) mod n $$
############################
############################
+추가
a를 n으로 나눈 나머지는 0~n-1이므로, a를 n으로 나눈 나머지를 다시 n으로 나눈 나머지는 당연히 a를 n으로 나눈 나머지와 같다.
(a mod n) mod n = a mod n
#############################
근데 dp에 피보나치 수를 n으로 나눈 나머지를 저장해놓아도 이게 규칙이 유지되는게 맞냐??
이렇게 의심할 수 있지만 실제로 위 성질을 적용해보면 전혀 문제가 없다
------------------------------------------------------------------------------------
그러면 a[n]이 피보나치 수열이고
dp[i] = i번째 피보나치 수를 15746으로 나눈 나머지 = (a[i] mod 15746)라고 정의하자.
편의상 m=15746이라고 생각하자.
(a[1] mod m + a[2] mod m) 과 a[3](=a[1]+a[2])은 서로 m에 대해 합동이므로
dp[3] = a[3] mod m = (a[3] mod m) mod m= (a[1] mod m + a[2] mod m) mod m = (dp[1] + dp[2]) mod m으로 저장해놓으면
a[3]을 m=15746으로 나눈 나머지는 dp[3]을 부르면 그만이다
비슷하게 a[4](=a[2]+a[3])와 (a[2] mod m + a[3] mod m)이 합동이니까
dp[4] = a[4] mod m = (a[4] mod m) mod m = (a[3] mod m + a[2] mod m) mod m = (dp[3] + dp[2]) mod m
그래서 a[4]를 m = 15746으로 나눈 나머지는 dp[4]를 부르면 그만이다.
비슷하게 dp[5] = a[5] mod m = (a[5] mod m) mod m = (a[4] mod m + a[3] mod m ) mod m
= (dp[4] + dp[3]) mod m
....
일반적으로
dp[n] = a[n] mod m = (a[n] mod m) mod m = (a[n-1] mod m + a[n-2] mod m ) mod m
= (dp[n-1] + dp[n-2]) mod m
이런식으로 피보나치 수열을 m으로 나눈 나머지를 dp에 저장해놓아도 피보나치 수열이 깨진다거나 그런 문제가 없다
아무튼 그러므로, 피보나치 수열은 n이 커질수록 상당히 커지는데 n = 30만 되어도 엄청 커지던가..?
수가 너무 커지면 연산 속도가 그만큼 느려진다
그래서 나눈 나머지를 계속 저장해서 숫자를 줄여나가는 전략을 취한다
from sys import stdin
n = int(stdin.readline())
dp = [0] * 1000001
dp[1] = 1
dp[2] = 2
for i in range(3,n+1):
dp[i] = (dp[i-1]+dp[i-2]) % 15746
print(dp[n])
4. 되돌아보기
직관적으로만 그냥 나눈거 저장해야지라고 생각했는데
정확하게 다시 생각해봤으니까 나중엔 잘 적용할 수 있겠지??
피보나치 수열(덧셈), 팩토리얼(곱셈),...
5. 연습문제
https://www.acmicpc.net/problem/15988
15988번: 1, 2, 3 더하기 3
각 테스트 케이스마다, n을 1, 2, 3의 합으로 나타내는 방법의 수를 1,000,000,009로 나눈 나머지를 출력한다.
www.acmicpc.net
6. 풀이
이미 푼 문제인데
dp[1] = 1
dp[2] = 2
dp[3] = 4
dp[n] = dp[n-1]+dp[n-2]+dp[n-3]
의 규칙이 있음은 밝혔다
그런데 제한 조건의 수가 너무 커서
" a를 n으로 나눈 나머지와 b를 n으로 나눈 나머지의 합을 n으로 나눈 나머지는 a+b를 n으로 나눈 나머지와 같다 "
원리를 이용해서 나머지를 dp에 계속 저장하면 된다
from sys import stdin
T = int(stdin.readline())
div = 1000000009
dp = [0]*1000001
dp[1] = 1
dp[2] = 2
dp[3] = 4
for i in range(4,1000001):
dp[i] = (dp[i-1]+dp[i-2]+dp[i-3]) % div
for _ in range(T):
n = int(stdin.readline())
print(dp[n])
'정수론' 카테고리의 다른 글
| 오일러의 phi 함수 직접 구현해보면서 개념 익히기 (0) | 2022.12.13 |
|---|---|
| 소인수분해 기본 알고리즘 배우기 (0) | 2022.12.13 |
| 소수를 빠르게 구하는 에라토스테네스의 체 알고리즘 (0) | 2022.09.07 |
| 이항계수를 구하는 알고리즘 고급편 - 페르마의 소정리- (0) | 2022.08.16 |
| 최대공약수를 빠르게 구하는 알고리즘 - 유클리드 호제법 (0) | 2022.08.10 |