1. 불평등을 설명하는 파레토의 법칙
19세기 말 파리에서 태어나 이탈리아에서 활동한 경제학자 빌프레드 파레토는 권력과 부의 분배 문제에 관심이 매우 많았다.
동시대의 다른 학자들처럼 파레토는 이와 관련한 데이터를 수집했다.
스위스 바젤과 독일 아우크스부르크의 세금 납부 기록, 이탈리아, 영국, 프로이센, 아일랜드의 개인 소득 기록,
파리의 월세 기록 등 여러 유럽 국가의 재산과 소득에 관한 데이터였다.
이 데이터를 분석한 그가 발견한 법칙은 이랬다.
어떤 시대, 어떤 도시라도 80%의 부는 전체 인구의 20%가 소유하고 있다. 바로 파레토의 법칙이다.
고소득층 20명이 평균 2억 원 소득을 올린다면 나머지 80명은 평균 1250만원을 번다는 이야기이다.
20*20억: 80*0.125억 = 40억: 10억 = 80: 20
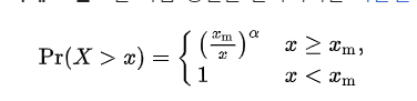
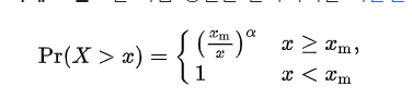
2. 파레토의 분포
파레토의 법칙에 맞는 자연스러운 분포로 고안된 것이 파레토의 분포이다.


소득이 적은 사람은 많고, 소득이 많은 사람의 비율은 낮지만 이 소수의 소득이 매우 높을 때 잘 들어맞는, 일종의 불평등을 설명하는 분포이다.
파레토의 법칙은 극단적으로 큰 값이 나올 법한 사회현상이나 경제, 금융 통계에서 많이 발견된다.
인터넷 사용 가구의 20%가 전체 80%의 인터넷 트래픽을 발생시킨다.
20%의 엘리트 운동선수들이 우승 상금의 80%를 가져간다.
코로나-19 바이러스에 감염된 80%의 사람들은 다른 사람을 전염시키지 않거나 많아도 한두명 전염시키지만,
소수의 감염자는 슈퍼 전파자가 되어 100명 넘은 사람을 전염시키기도 한다.
예를 들자면 끝이 없다.
파레토의 법칙과 파레토 분포는 정규분포로는 설명할 수 없는 여러 현상, 특히 불평등한 사회현상을 설명하는데 탁월하다.
경제학계에서 파레토의 영향은 동시대에 활동하면서 우생학을 창시한 프랜시스 골턴에 비견할 만하다.
골턴은 자연과 사회, 인간에 대해 다양한 데이터를 수집하고 정리한 저작들로 유명하다.
그 당시만 해도 좋게 표현하면 철학적, 나쁘게 표현하면 탁상공론에 그친, 이론적 학문에 불과헀던 경제학은
파레토에 의해 데이터를 만나 수학과 데이터에 기반한 학문으로 성장한다.

'책 읽기 > 수학보다 데이터 문해력' 카테고리의 다른 글
| 28장 복권을 사면 살수록 손해본다 (0) | 2024.01.31 |
|---|---|
| 27장 평균 인간 (0) | 2024.01.30 |
| 25장 중심극한정리 (0) | 2024.01.25 |
| 24장 90은 큰 수인가 작은 수인가 (0) | 2024.01.20 |
| 23장 편견도 데이터가 많으면 바뀐다 (0) | 2024.01.16 |
