1. 문제
정확히 하나의 사이클을 포함하는 무방향 연결 그래프(connected undirected graph)가 주어진다.
각 노드 번호가 0부터 n-1까지 n개의 노드를 가진다.
노드 a와 b 사이 거리가 a에서 b로 가기 위해 필요한 최소 간선의 수
노드 i = 0,1,2,..,n-1에서 이 그래프에 존재하는 사이클에 있는 임의의 노드까지의 최소 거리를 구한다면?
당연히 사이클에 포함된 노드는 사이클 까지의 거리가 0이다.

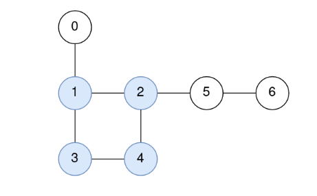
위 그래프는 1,2,3,4가 사이클을 이룬다.
1,2,3,4는 각각 사이클까지 거리가 0이고, 0번 노드는 사이클 까지 거리가 1
5번 노드는 사이클 까지 거리가 1, 6번 노드는 사이클 까지 거리가 2이다.
2. 풀이
사이클에 포함된 노드는 위상정렬에 포함되지 않는다는 점을 이용한다

무향그래프니까 진입차수(indegree)가 1인 노드를 먼저 큐에 모두 담는다.
위 그래프에서 0번 노드 6번 노드가 진입차수가 1이다.
q = [0,6]
이 노드를 제거하면서 다시 그래프에서 차수가 1인 노드를 큐에 담는다.
노드를 제거하는 과정에서 제거된 노드를 순서대로 다른 배열 seq에 담는다.
0번을 제거하면 seq = [0]이고 1번 노드의 진입차수가 원래 3인데 2로 줄었지만 1이 아니므로 큐에 담지 않는다.
여기서 핵심은 노드를 제거할때마다 인접 노드를 기록해둔다.
0번 노드를 제거하면서 인접 노드가 1번이므로 adj[0] = 1로 기록해둔다.
q = [6]

다시 6번 노드를 제거하면 이제 6번 노드가 진입차수가 1이되고 seq = [0,6], q = [5]
그리고 6번노드에 인접한 노드 5번을 기록해둔다 adj[6] = 5

다시 5번 노드를 제거하면 s = [0,6,5]인데 2번 노드가 진입차수가 3인데 2로 줄었지만 1이 아니므로 큐에 담지 않는다.
이때 5번 노드에 인접한 노드 2번을 기록해둔다. adj[5] = 2
큐가 비면 위 과정을 종료한다.
이제 거리를 담은 배열 answer[i]는 노드 i에서 사이클까지 최소 거리를 나타낸다.
모두 0으로 초기화하고, s = [0,6,5]를 역방향으로 순회하여 각 노드 i번에 대해 인접한 노드 adj[j]를 이용하면...
각 노드 i번은 인접한 노드 adj[i]와의 거리가 1이므로
answer[i] = answer[adj[i]] + 1
s에는 사이클에 포함된 노드가 들어가있지 않으므로, 그러한 노드들은 answer값이 0이다.
따라서 s를 역방향으로 순회하면 사이클에서 가까운 노드부터 거리가 1씩 증가하게 된다.
이렇게 하면 시간복잡도 O(N)에 가능
from collections import deque
n = int(input())
graph = [set() for _ in range(n)]
for _ in range(n):
a,b = map(int,input().split())
graph[a].add(b)
graph[b].add(a)
queue = deque([])
for i in range(n):
if len(graph[i]) == 1:
queue.append(i)
adj = [0]*n
s = []
while queue:
i = queue.popleft()
s.append(i)
for j in graph[i]:
adj[i] = j
graph[j].remove(i)
if len(graph[j]) == 1:
queue.append(j)
graph[i].pop()
answer = [0]*n
for i in s[::-1]:
answer[i] = answer[adj[i]] + 1
print(*answer)
7
1 2
2 4
4 3
3 1
0 1
5 2
6 5
1 0 0 0 0 1 2
9
0 1
1 2
0 2
2 6
6 7
6 8
0 3
3 4
3 5
0 0 0 1 2 2 1 2 2
여기서 디테일은 graph = [set() for _ in range(n)]
set()으로 담아두면 위상정렬할 때
j번에 연결된 노드 i를 제거하고 싶을 때 graph[j].remove(i) 으로 O(1)에 제거가능
'알고리즘 > 위상정렬' 카테고리의 다른 글
| 위상정렬 재활치료하기 - 그래프에 사이클이 존재하여 정렬이 불가능한경우 (0) | 2023.03.17 |
|---|---|
| 그래프의 노드를 정렬하는 위상정렬 정복하기 (0) | 2022.10.27 |
