1. 자료구조
자료를 효율적으로 접근하고 수정하기 위해 자료를 조직, 관리, 저장하는 방법
상황에 따라 데이터를 다루는데 시간과 메모리를 효율적으로 사용할 수 있는 자료구조를 사용해야함
선형 구조와 비선형 구조로 나뉜다
2. 선형구조
자료를 구성하는 데이터들이 직선 형태로 순차적으로 나열되어 있는 구조
전후 데이터들 간에 일대일 관계
대표적으로 스택(stack), 큐(queue), deque, 리스트(list) 등이 모두 선형구조이다.

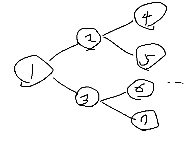
3. 비선형구조
하나의 자료 뒤에 여러개의 자료가 존재할 수 있는 구조
전후 데이터들 간에 1:N 관계를 가짐
대표적으로 트리(tree), 그래프(graph)가 비선형구조이다.

4. 참고
https://noahlogs.tistory.com/28
[자료구조] 스택, 큐, 데크
자료구조는 자료(데이터)를 효율적으로 접근하고 수정하기 위해 자료를 조직,관리,저장하는 방법을 의미한다. 자료구조가 필요한 이유는 상황에 따라 데이터를 다루는데 시간과 메모리를 효
noahlogs.tistory.com
728x90
'알고리즘 > 알고리즘 일반' 카테고리의 다른 글
| 조건문을 리스트로 바꾸는 방법? (0) | 2022.01.03 |
|---|---|
| 오름차순 배열과 내림차순 배열을 동시에 적용하는 방법? (0) | 2022.01.03 |
| 논리적으로 차분하게 코딩하기 (0) | 2022.01.02 |
| 다양한 피보나치 수열 알고리즘 (0) | 2022.01.01 |
| 반복문에서 경우의 수를 나누는 방법 (0) | 2021.11.28 |