컴퓨터는 왜 2진수를 사용하는가? 실리콘이라는 재료로 만든 반도체로 구성됨
이 반도체는 특정 자극을 줄 때 전기가 통해서 전류가 흐르면 1, 전류가 흐르지 않으면 0으로 표현할 수 있기 때문
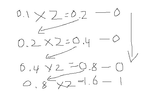
단순 소수도 이진수로 변환하면 무한소수가 되는 경우가 있다.
이것을 반올림하면 약간의 오차가 발생하는데 요새는 일반적으로는 큰 문제는 없다
아마 이것도 실수오차가 발생하는 이유가 되겠지
10진수 0.1을 2진수로 바꾸면 0.0001…..(2)가 된다

728x90
'컴퓨터과학(CS)' 카테고리의 다른 글
| 폭포수 모형 vs 프로토타입 모형 vs 나선형 모형 (0) | 2024.04.14 |
|---|---|
| unicode와 한국어 간단하게 알아보기 (0) | 2024.03.03 |
| 폰 노이만 아키텍처(Von Neumann architecture) (0) | 2024.01.03 |
| 컴퓨터 운영체제(operating system), 파일 시스템(file system), 터미널환경(console, terminal) (0) | 2024.01.02 |
| 1장의 그림으로 아주 간단하게 이해하는 nginx (0) | 2023.06.17 |